The Dictionary Of Photography

A True Historic Record Of The Art & Practice Of Photography 100 Years Ago.

Home | About | Photography | Contact






Diaphragms
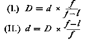
The second plan is by the aid of a simple mathematical cal-culation as follows: -
the centre of the front combination, which centre is situate midway between the front and back surfaces of such lens. Then
To many doubtless this is unintelligible. An example may make it plainer. Let us suppose we have a Euryscope lens of n-in. focus, the focus of the front combination is 21 in., the distance between the centre of combination and plane of diaphragm is in.; we want to calculate the value of a diaphragm 1 in. in diameter; then, substituting the above values for the letters, we find
Therefore our stop of i-in. actual diameter has a true aperture value; not much difference, it is true, but still sufficient
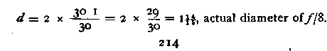
to render accurate scientific work an impossibility. It may happen that, by this calculation, we find this true aperture value greater than the diameter of the front lens; if this is the case, the diameter of the lens is the true value. Now suppose we have a lens of 16-in. focus, and wish to cut our diaphragms to have a value of We know that
should be 2 in. if we disregard the condensing power of the front lens; the focus of front lens being 30, and the distance from the centre of this lens to diaphragm plane 1 in., we get then